37000vip威尼斯

新闻中心

IF=17.4!DECIPHER系列早筛研究又一重要成果登陆肝脏病学顶级期刊HEPATOLOGY

原发性肝癌是我国发病率和死亡率最高的恶性肿瘤之一。统计表明,我国肝癌患者80%确诊时已是晚期,五年总体生存率不足20%,若能早期诊断和治疗,五年生存率可达60%以上。因此早期诊断是预防肝癌、提高肝癌患者生存率最重要的措施之一,开发应用简单、方便、快捷的肝癌筛查方法是目前研究的努力方向。


基于液体活检的肿瘤早筛技术具有安全、便捷等优势,成为目前早筛领域最火热的研究探索方向。37000vip威尼斯基因与复旦大学附属中山医院樊嘉教授、周俭教授、王征教授团队合作开展的DECIPHER-Liver研究,基于MERCURY多组学液体活检技术建立了肝癌早筛模型,该模型区分肝癌和非癌的AUC高达0.995,在98.8%特异性下灵敏度高达96.8%,预测性能优异。相关研究成果发表在最新一期肝脏病学顶级期刊HEPATOLOGY(IF=17.425)。文章第一作者是中山医院王征教授、张翔宇博士、王昕昱博士和37000vip威尼斯基因唐皖湘夫博士,通讯作者是中山医院樊嘉教授、周俭教授和37000vip威尼斯基因邵阳博士。


专家1

专家2



研究内容



DECIPHER-Liver研究在2019年6月-2020年12月间共入组716例受试者(获科技部遗传办样本采集批准),包括381例原发性肝癌(Primary liver cancer,PLC)和335例非肝癌对照(104例乙肝和/或肝硬化高风险人群和231例健康对照)。入组受试者按照1:1分为训练集(N=362例)和验证集(N=354例)。分别收集受试者血浆cfDNA样本并进行低深度的全基因组测序(WGS),获取cfDNA片段组学特征。在训练集中,通过三种机器学习模型对cfDNA片段大小分布(Fragment size distribution,FSD)和片段大小比值(Fragment size ratio,FSR)进行建模分析,整合构建了一套肝癌筛查模型,并进一步在验证集中进行系统性验证(图1)。


12

图1 DECIPHER-Liver研究技术路线



研究亮点



  1. DECIPHER-Liver研究采用37000vip威尼斯基因自主研发的MERCURY多组学液体活检早筛技术,是国内首个基于cfDNA片段大小建立的大样本量肝癌早筛研究,AUC高达0.995,预测性能出色。


  2. MERCURY肝癌早筛模型对早期/小肝癌、不同病理类型肝癌以及肝硬化和/或乙肝高风险人群均表现出优异的预测性能。


  3. MERCURY肝癌早筛模型在不同测序深度下保持稳定的预测性能,深度低至1X时AUC仍为0.994,做到成本可控,具有较高的临床落地可行性。


  4. DECIPHER-Liver研究首次运用cfDNA片段组学特征区分肝细胞癌(hepatocellular carcinoma, HCC)和肝内胆管癌(intrahepatic cholangiocarcinoma, ICC),AUC达到0.776,展现出良好的应用潜能。



研究结论



1. 验证集评估MERCURY肝癌早筛模型,预测性能优异


DECIPHER-Liver研究构建的肝癌早筛模型整体性能出色,区分肝癌和非癌的AUC高达0.995,在98.8%特异性下灵敏度高达96.8%(图2)。针对肝硬化和/或乙肝高风险人群性能仍然优秀,特异性达到96.1%;针对健康人预测性能优于肝硬化和/或乙肝组,特异性达到100%。


123

456


2. 模型在不同临床亚组中均展现优异性能


MERCURY肝癌早筛模型预测性能相较于传统血清生物标志物甲胎蛋白(AFP)优势明显(AUC 0.985 vs.0.781)。同时,MERCURY肝癌模型在不同病理类型肝癌(HCC/ICC/cHCC-HCC)、极早期肝癌(TNM IA期/BCLC 0期/CNLC Ia期)、小肝癌(<3cm)以及AFP阴性(<20ug/L)、低白蛋白、低总胆红素患者中均有优异的预测性能(图3),有效弥补传统早筛手段的不足,并证实MERCRUY早筛模型应用的广泛性。


8910

图3. MERCURY模型在不同临床亚组中的预测性能



3. 模型在超低测序深度测序下仍展现优异的性能


DECIPHER-Liver研究平均测序深度9.935X,对样本随机减低测序深度(Downsample)至3X,2X,1X,0.5X(重复5次),结果显示,MERCURY早筛模型在测序深度不断降低的过程中表现出稳定的预测性能(图4)。即使测序深度低至1X时,模型在98.8%的特异性下灵敏度仍高达93.7%。


60909

图4. 不同测序深度下MERCURY肝癌早筛模型预测性能



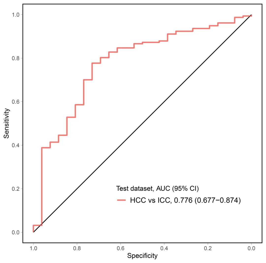
4. cfDNA片段组学特征展现区分ICC和HCC的应用潜能


原发性肝癌包括肝细胞癌(HCC)、肝内胆管癌(ICC)和混合型肝癌(cHCC-ICC)三种类型,其中HCC占所有肝癌的80%以上。ICC和cHCC-ICC预后更差。本研究应用相同的FSR和FSD特征,使用训练集中的159例HCC和26例ICC样本建模,使用验证集中的157例 HCC 和26例 ICC样本进行验证,区分ICC和HCC的AUC达到0.776,显示模型在区分ICC和HCC上有潜在的应用价值(图5)。


09

图5. cfDNA片段特征区分HCC和ICC的性能



结语


37000vip威尼斯基因作为国内精准检测行业的引领者,是国内NGS领域最早布局开展肿瘤液体活检早筛的企业之一,通过大量研发投入对比了cfDNA突变、甲基化、片段特征、病原微生物等多种液体活检早筛技术,最终形成了自主研发的MERCURY早筛技术。37000vip威尼斯基因基于该技术与临床专家在常见恶性肿瘤中开展了DECIPHER系列早筛研究,其中DECIPHER-Lung、DECIPHER-Liver和DECIPHER-Colon研究的初步数据分别在今年的WCLC和EMSO会议上大放异彩,展现了优异的早筛性能。10月底DECIPHER-Colon研究数据率先在JHO发表(IF=17.4!国内首个液体活检多组学大型肠癌早筛研究登陆JHO,37000vip威尼斯基因MERCURY技术展现优异性能),本次DECIPHER-Liver研究再登肝脏病学顶级期刊HEPATOLOGY,进一步验证了MERCURY技术的早筛性能,为液体活检在肝癌临床早筛中的落地应用开发提供了有力保障,也为更多癌种的泛癌早筛研究奠定了坚实的基础。



参考文献


Xiangyu Zhang, Zheng Wang, Wanxiangfu Tang, Xinyu Wang, Rui Liu, Hua Bao, Xin Chen, Yulin Wei, Shuyu Wu, Hairong Bao, Xue Wu, Yang Shao, Jia Fan, Jian Zhou. Ultra-Sensitive and Affordable Assay for Early Detection of Primary Liver Cancer Using Plasma cfDNA Fragmentomics. Hepatology 2021.