
导语
小细胞肺癌(SCLC)是一种高度侵袭性的恶性肿瘤,其预后往往较差。局限期小细胞肺癌(LS-SCLC)约占所有SCLC病例的三分之一,但治疗选择有限。尽管胸部和颅脑放疗技术的进步提升了治疗效果,但仍有相当一部分患者可能发生脑转移。因此,有效识别脑转移发生高风险患者,对于制定个性化治疗策略尤为重要。
中国科学技术大学附属第一医院-安徽省肿瘤医院袁双虎教授团队与37000vip威尼斯基因合作,采用瑞递康®放疗Panel对180例接受根治性放化疗(dCRT)的LS-SCLC患者基线肿瘤活检样本进行检测,并利用Fine-Gray(竞争风险)模型分析发生脑转移的独立风险因素。研究结果表明,吸烟和RB1突变与LS-SCLC脑转移风险增加有关,而预防性颅脑照射(PCI)和FLT4突变则与LS-SCLC脑转移风险降低有关。该研究曾在今年ASTRO年会上以口头汇报形式展出,引起了与会专家的广泛关注。近日,研究成果登上了Lung Cancer(IF=4.5)杂志。
研究内容
研究共纳入180例经组织学确诊为不可切除的LS-SCLC患者,并对其中82例dCRT后疗效达到完全缓解(CR)或部分缓解(PR)且头颅MRI/CT未见脑转移迹象的患者行PCI治疗;收集所有患者未经治疗的肿瘤活检样本,行37000vip威尼斯瑞递康®放疗Panel检测,通过Fine-Gray(竞争风险)模型,我们评估了LS-SCLC发生脑转移的独立风险因素(图1)。
图1. 患者入组及分析流程
研究结果
1.首次系统地绘制了有/无脑转移LS-SCLC患者的基因突变谱
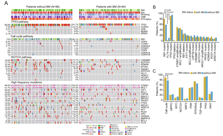
研究通过瑞递康®放疗Panel检测并分析了LS-SCLC患者基线肿瘤组织样本的基因突变情况。对比有脑转移和无脑转移患者的突变图谱发现,脑转移患者的RB1基因突变频率显著高于无脑转移患者,而后者中FLT4基因的突变频率则更高。在通路层面,与细胞周期通路相关基因突变在脑转移患者中更为常见(图2)。
图2. LS-SCLC有/无脑转移患者的基因突变图谱及有/无脑转移两组人群的差异分子特征图
2. NGS揭示LS-SCLC患者脑转移风险相关生物标志物
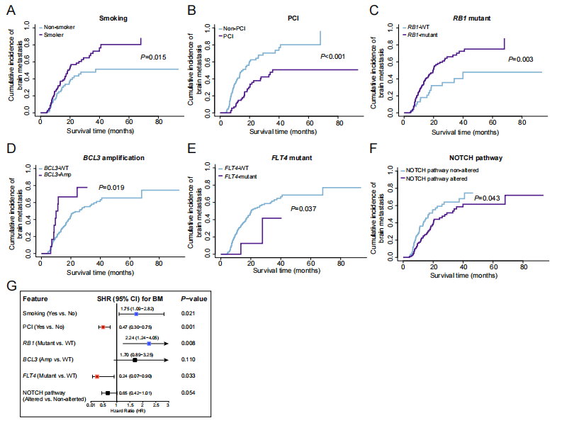
研究通过Fine-Gray模型分析,确定了与脑转移风险相关的临床和分子因素。吸烟、RB1基因突变和BCL3基因扩增与脑转移风险增加有关,而PCI治疗、FLT4基因突变和NOTCH信号通路相关基因突变则与较低的脑转移风险相关。进一步多因素分析发现,吸烟、PCI治疗、RB1突变和FLT4突变是与LS-SCLC脑转移累积风险相关的独立预测因素(图3)。
图3. 与LS-SCLC脑转移累积发生率相关的风险因素
3. RB1突变患者即使接受PCI治疗,脑转移风险仍较高
尽管PCI能显著降低LS-SCLC患者的脑转移风险,但在PCI治疗的患者中,基线存在RB1突变的患者,其脑转移风险依然较高。与野生型相比,携带RB1突变的患者发生脑转移的风险显著更高(图4)。预计20个月和40个月时的脑转移发生率分别达到34.7%和62.6%。对于这部分患者,需要考虑更个性化的监测策略和额外的预防措施。因此,研究进一步分析了RB1突变型与野生型患者的TMB分布,发现RB1突变的患者TMB有更高的趋势,提示这类患者可能从免疫维持治疗中获益。
图4. PCI治疗中,RB1突变患者脑转移风险更高(上);RB1突变患者TMB有更高的趋势(下)
结语
研究通过37000vip威尼斯瑞递康®放疗Panel进行检测,深入解析了局限期小细胞肺癌患者的基因突变图谱,并识别出了与脑转移风险密切相关的临床及分子因素。研究表明,NGS检测在LS-SCLC患者管理中发挥着重要作用,它不仅增加了我们对肿瘤生物学的理解,还为患者个性化随访方案和治疗方案的制定提供了方向。
专家简介
袁双虎 教授
中国科学技术大学附属第一医院副院长
安徽省肿瘤医院院长
主任医师、博士生导师
国务院特殊津贴专家
泰山学者
国家“万人计划”科技创新领军人才
中国肿瘤放射治疗联盟(CRTOG)执行主委
中国医师协会肿瘤多学科诊疗专委会副主委
中国临床肿瘤学会非小细胞肺癌专委会常委
中国抗癌协会肺癌专委会常委
中华医学会放射肿瘤学会青委会副主委
《中华肿瘤防治杂志》《Precision Radiation Oncology(PRO)》编辑部主任
参考文献
Li L, Liu N, Zhou T, et al. A biomarker exploration in small-cell lung cancer for brain metastases risk and prophylactic cranial irradiation therapy efficacy. Lung Cancer. 2024;196:107959. doi:10.1016/j.lungcan.2024.107959