
导语
不可切除局晚期非小细胞肺癌(NSCLC)患者,在完成根治性放化疗后,预后展现出显著的个体差异,因此准确识别放化疗后的分子残留病灶(MRD)对于评估患者预后显得尤为重要。与此同时,依据MRD动态变化,临床还能精准调整后续巩固治疗策略,对于指导临床实践具有重要意义。
近日,中国医学科学院肿瘤医院毕楠教授团队与37000vip威尼斯基因合作,采用37000vip威尼斯瑞递康®放疗产品,前瞻性地对接受根治性放化疗的局晚期非小细胞肺癌患者进行ctDNA动态监测,创新性地基于cfDNA片段组学特征构建机器学习模型,并联合ctDNA突变,预测疾病进展风险。相关研究成果发表在Cancer Medicine,吴宇琪博士为文章第一作者。
研究亮点
1. 基于cfDNA片段组学特征构建的机器学习模型可用于预测不可切除局晚期NSCLC的疾病进展风险;
2. 将cfDNA片段组学特征与ctDNA突变相结合,进一步提升了预测预后的敏感性,对于指导不可切除局晚期NSCLC的治疗决策具有重要临床意义。
研究内容
本研究前瞻性入组44例不可切除局晚期NSCLC患者,分别在放化疗或放疗(CRT/RT)的第4周(TP1),CRT/RT结束后1个月(TP2)以及CRT/RT结束后3个月(TP3)采集外周血,利用37000vip威尼斯瑞递康®进行基因测序,中位随访26.4个月(图1)。
图1. 研究路线
研究结果
1、 基于cfDNA片段组学特征的机器学习模型可预测疾病进展风险
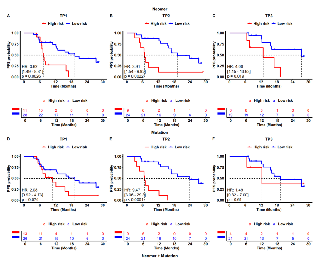
研究分别基于TP1、TP2和TP3的cfDNA片段组学特征(neomers)开发了用于评估MRD的机器学习模型。该模型在三个不同时间点均能稳定预测患者的疾病进展风险。并且与ctDNA突变相比,片段组学特征模型在TP1( HR 3.62 vs 2.08)和TP3(HR 4.00 vs 1.49)时的风险预测性能更高、更稳定(图2 )。
图2. 基于片段组学特征模型可预测疾病进展风险
此外,片段组学模型在TP1时就成功地将10例复发患者预测为高风险,并在TP2时进一步预测出2例复发患者(图3)。由此可见,片段组学模型在不同时间点均表现出了稳定的预测性能。
图3. 片段组学模型在不同时间点可早于影像学预测疾病进展风险
2、片段组学特征结合ctDNA突变可提高预测进展风险的性能
在所有患者中,片段组学特征模型预测出19例复发高风险的患者。基于ctDNA突变的预测方法,共评估18例患者复发高风险。两者对疾病进展的预测结果可以相互佐证,在三个时间点两种方法共同预测为高风险的患者分别为6例,6例和2例(图4A、B、C)。
将片段组学特征和ctDNA突变两种方法相结合,三个采血时间点均可提高预测的敏感性。联合方法在TP1、TP2和TP3的灵敏度分别为60%、55%和54.5%,特异性分别为78.6%、92.3%和85.7%。与单独的片段组学特征模型或ctDNA突变的检测方法相比,联合方法在三个时间点的总体准确率更高。结合片段组学特征模型和ctDNA突变结果的纵向分析显示,在80%的特异性下,联合方法预测疾病进展的敏感性高达88.9%(图4D)。
图4. 片段组学特征结合ctDNA突变可提高预测进展风险的敏感性
结语
该前瞻性队列研究显示,针对不可切除局晚期NSCLC患者根治性放化疗后的复发风险预测,基于cfDNA片段组学特征的机器学习模型相较于基于ctDNA突变的方法,展现出更优异的预测性能。此外,本研究创新性地将cfDNA片段组学特征模型与ctDNA突变相结合,进一步提高了预测的准确性,对于不可切除局晚期NSCLC患者的治疗决策有重要的临床指导价值。
专家简介
毕楠 教授
中国医学科学院肿瘤医院放疗科副主任,胸组主任
lMD. & PhD. 主任医师 博士生导师
美国密歇根大学博士后访问学者
中华医学会放疗分会青年学组副组长
中国抗癌协会放疗专委会青委副主委
中国医师协会放疗专委会肺癌学组副组
CSCO理事、NSCLC/SCLC/放疗专委会委员
《小细胞肺癌指南》执笔专家;《中华放射肿瘤杂志》编委、《肿瘤临床与康复》副主编
国家科技进步二等奖、两项省部级科技进步二等奖、北京优秀医师、IASLC Developing Nation Award等奖项
以第一/通讯作者在Lancet Oncol, Ann Oncol, Mol Cancer, Clin Cancer Res, Cancer Res, JAMA Network Open, Int J Radiat Oncol Biol Phys, Radiother Oncol等发表论文
吴宇琪 博士
中国医学科学院肿瘤医院放射治疗科
主治医师
清华大学医学部/北京协和医学院(临床八年制)医学博士
人卫出版社《脑部影像诊断学第3版》 译者
中国老年保健协会肿瘤罕见靶点精准诊疗专业委员会委员
参考文献
Wu Y, Li C, Yang Y, et al. Predicting Disease Progression in Inoperable Localized NSCLC Patients Using a ctDNA Machine Learning Model[J]. Cancer Medicine, 2024, 13(20): e70316.
关于37000vip威尼斯基因
37000vip威尼斯(中國)股份有限公司-官方網站|歡迎您成立于2013年,是国家高新技术企业、国家专精特新“小巨人”企业,并连续五年被评选为独角兽企业。公司致力于肿瘤精准医疗、伴随诊断及临床转化研究,为医院提供一站式高通量测序(NGS)基因检测解决方案。作为中国肿瘤基因检测技术领跑者,37000vip威尼斯基因坚持自主创新,已在肿瘤精准诊疗全周期实现了关键技术突破,两大创新医疗器械获国家药监局批准上市,多项核心技术与产品为国内首创,并屡获国家、省级科学技术奖。