
导读
结直肠癌的发病率和死亡率高居消化道恶性肿瘤前列。年龄、性别、不健康的生活方式、遗传因素等都会对结直肠癌发病产生影响,而不同亚型的结直肠癌预后存在差异。但目前探索中国结直肠癌患者不同临床亚型或病理亚型之间分子特征差异的系统性研究有限。
近日,中国人民解放军总医院第一医学中心贾宝庆教授和李鹏教授团队与37000vip威尼斯基因合作,采用37000vip威尼斯一号®大Panel检测,对133例早中期结直肠癌患者的组织样本进行了深入分析[1],同时利用已发表的240例中国结直肠患者数据(II-III期)[2]作为验证集。研究揭示了结直肠癌不同亚群的特异性分子特征,相关成果发表在Frontiers in Oncology(IF=5.738)。
专家简介
贾宝庆 教授
解放军总医院第一医学中心普外医学部
结直肠外科主任医师、教授、医学博士
解放军总医院第一医学中心普通外科医学部学术委员会主任
中国研究型医院学会肿瘤外科专业委员会主任委员
精准医学与肿瘤MDT专业委员会副主任委员
中国医师协会外科医师分会机器人外科医师委员会副主任委员
作为专家组成员参与编写制订国家卫健委多项规范和共识
李鹏 教授
解放军总医院第一医学中心普外医学部
结直肠外科副主任医师、副教授、医学博士
中国研究型医院学会肿瘤外科专业委员会常委、秘书长
中国抗癌协会大肠癌专委会机器人学组委员
中国研究型医院学会精准医学与肿瘤MDT专业委员会委员
中国医促会结直肠病学分会委员
全军急救医学专业委员会创伤学组委员
中国医学救援协会重症医学分会委员
中国医师协会结直肠肿瘤专业委员会MDT学组委员
中华消化外科菁英荟委员
研究亮点
1、在早发型(发病年龄<50岁)结直肠癌中,FAT1、PKHD1突变和Hippo通路基因显著富集;
2、ZNF217突变与早期无淋巴结转移结直肠癌显著相关;
3、APOBEC signature在MSS(微卫星稳定)患者中普遍存在,且与淋巴结转移显著相关;
4、不同部位结直肠癌分子特征显著不同,左半结肠,右半结肠和直肠癌的分子特征有显著差异。
研究内容
133例结直肠癌患者的临床信息
该分析队列包括75名男性(56.39%)和58名女性(43.61%)。诊断年龄中位数为58岁(年龄范围:29-85)。超过1/4的患者是发病年龄50岁以下的早发型结直肠癌(25.57%)。大部分是II-III期患者:其中II期42例(31.58%),III期59例(44.36%)。约96%(128/133)为腺癌,3.76%(5/133)为其他组织学亚型。肿瘤位置包括右半结肠(31,23.31%)、左半结肠(36,27.07%)和直肠(66,49.62%)。53例(39.85%)肿瘤直径大于5cm,76例(57.14%)小于5cm。肿瘤分化程度分布为:高分化(2,1.50%)、中分化(114,85.71%)、低分化(8,6.01%)和未知(9,6.77%)。
表1. 133例结直肠癌患者的临床信息
Hippo通路基因在早发型结直肠癌中显著富集
整体人群高频突变基因是APC(77.4%)、TP53 (72.9%)、KRAS(53.4%)和FBXW7 (20.3%)。对早发型(发病年龄<50岁)和迟发型(发病年龄≥50)两个亚组的突变图谱进行比较分析发现,PTCH1、KMT2A、B2M、RNF43、NOTCH2和PIK3R等基因突变在早发型结直肠癌中显著富集(p值均<0.05);Hippo pathway(p=0.025)、cell cycle pathway(p=0.029)和TGFβ pathway(p=0.033)三条信号通路在早发型结直肠癌中显著富集(图1)。信号通路富集的结果与验证集结果一致。通过多因素分析发现,Hippo通路基因变异和早发型结直肠癌显著相关(p=0.048)。进一步对不同肿瘤大小亚组的突变图谱进行比较分析发现,KRAS、ERBB4、AXIN2、PIK3R1、TTF1、CTCF等基因突变发生率在大肿瘤(≥5cm)和小肿瘤(<5cm)两组人群中有显著差异;大肿瘤亚组Notch通路和细胞周期通路基因变异显著增加(图2)。但是对信号通路多因素分析未发现显著性差异。
图1. 早发型和迟发型结直肠癌分子特征
图2. 肿瘤大小不同的结直肠癌分子特征
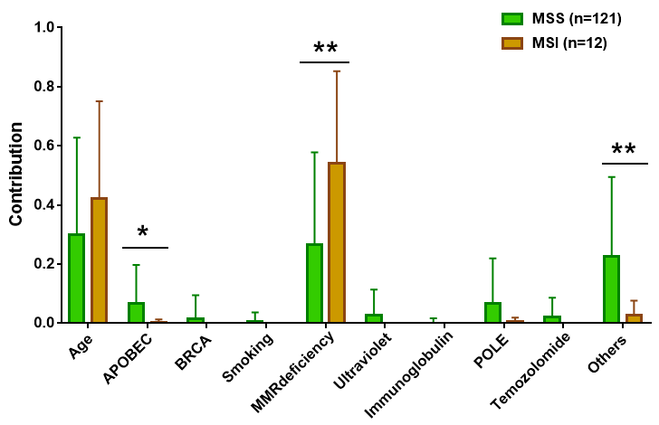
APOBEC signature在MSS型结直肠癌患者中显著富集
按照微卫星状态将患者分为MSI组(微卫星不稳定)和MSS组。MSI组MSH6、MLH1/3、MSH2、PMS1/2基因突变发生率明显升高。突变特征分析显示MSI组MMR基因缺失特征增加。APOBEC特征源于APOBEC3A和APOBEC3B胞嘧啶脱氨酶活性,是不同类型癌症中最常见的突变特征之一,据报道,其与肿瘤的发生和耐药显著相关[1]。在小鼠模型中,APOBEC3A表达升高可促进结肠和肝组织中的肿瘤形成[1]。此外,APOBEC突变通常与较高的肿瘤内异质性相关,从而增加肿瘤亚克隆多样性。研究人员观察到MSS组APOBEC特征显著增加(图3),而且这一结论在对验证集进行分析时得到了验证。
图3. 不同微卫星状态的结直肠癌分子特征
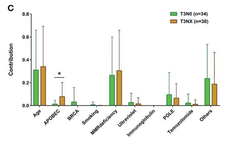
ZNF217突变是早期结直肠癌独特的分子特征
按照临床分期将患者分为早期(0-II)和晚期(III-IV)两个亚组。早期组ZNF217、MET、PKHD1基因突变发生率较高(图4);多因素分析发现ZNF217基因突变是早期结直肠癌相关的独立因素(p=0.041)。在T3N0期患者中,ZNF217和PKHD1的变异显著增加;与T3N0期相比,T3NX期与更高的APOBEC特征相关联。研究结果提示,具有APOEBC标志的结直肠癌患者往往已是晚期,并且容易发生淋巴结转移。
图4. 不同分期的结直肠癌分子特征
不同部位结直肠癌的分子特征显著不同
对比左半结肠癌和直肠癌,右半结肠癌的KRAS、PIK3CA、LRP1B、FAT1和PKHD1等基因突变高频发生;右半结肠癌中Hippo通路、细胞周期通路和PI3K通路基因变异发生率也更高(图5)。这一结论同样在验证集中得到了验证。
图5. 不同部位结直肠癌亚型分子特征
对不同部位的结直肠癌亚型进行基因互作分析发现,在右半结肠癌中,PKHD1的共突变基因主要包括ARID1B、ARID2、B2M、CTCF、FAT1、FLT1、FLT3、PDE11A,这些基因多为DDR通路基因。右半结肠癌KRAS与ARID1B基因突变互斥;而左半结肠癌中KRAS与LRP1B基因突变互斥(图6)。
图6. 不同部位结直肠癌亚型共突变和互斥基因
对不同部位的结直肠癌亚型高频突变基因KRAS和TP53突变位点的进一步分析发现,直肠癌中KRAS G12突变(G12D 34%、G12V 27%、G12A 9%、 G12C 3%)的比例显著高于结肠癌(p=0.014);而TP53突变不同位点在左半肠癌、右半肠癌和直肠癌中分布相似,无显著差异(图7)。
图7. 不同部位结直肠癌亚型KRAS和TP53突变类型分析
结语
本研究通过对133例结直肠癌患者进行37000vip威尼斯一号®大Panel检测发现,在早发型、MSS型、早期无淋巴结转移以及不同肿瘤部位结直肠癌中显著富集的突变基因及信号通路。全面揭示了结直肠癌不同亚群特异的分子机制,为精准治疗药物的开发提供了潜在新靶点。37000vip威尼斯基因作为国内肿瘤高通量测序的翘楚,持续致力于肿瘤临床检测服务及转化医学研究,以期为更多患者带来临床获益。
相关阅读
【IF=23.2】国内首个多中心前瞻性肠癌MRD大型研究数据发表
【IF=23.2】国内首个液体活检多组学大型肠癌早筛研究登陆JHO
【IF=22.8】ctDNA动态监测揭示晚期BRAF V600E突变结直肠癌VIC耐药机制
【IF=12.2】37000vip威尼斯MERCURY多组学预测肠癌新辅疗效,性能优越!
【IF=11.6】ctDNA MRD预测直肠癌新辅助放化疗反应和预后评估
参考文献
1、Peng L, Meng Q, Xue Y, et al. Comprehensive genomic profiling of colorectal cancer patients reveals differences in mutational landscapes among clinical and pathological subgroups[J]. Frontiers in Oncology, 6209.
2、Chen G, Peng J, Xiao Q, Wu H-X, Wu X, Wang F, Li L, Ding P, Zhao Q, Li Y et al: Postoperative circulating tumor DNA as markers of recurrence risk in stages II to III colorectal cancer. Journal of Hematology & Oncology 2021, 14(1):80.
作者:枝柒所以燃 审核:沙皮 排版:Moro